Prof. V. Vapnik w 1998 r. stworzył nowe podejście do kształtowania struktury sieci neuronowej oraz definiowania problemu uczenia próbując wyeliminować znane wady sieci neuronowych typu MLP i RBF stosujące minimalizację nieliniowych funkcji błędu.


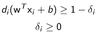
Czasami występuje konieczność zmniejszenia marginesu separacji dla problemów niecałkowicie separowalnych liniowo oraz punktów xi , di leżących wewnątrz strefy marginesu separacji, co możemy zapisać za pomocą nierówności:
di (wTxi + b) ≥ 1 − δi
gdzie:
Jeśli:

gdzie r to odległość wektorów nośnych od hiperpłaszczyzny.



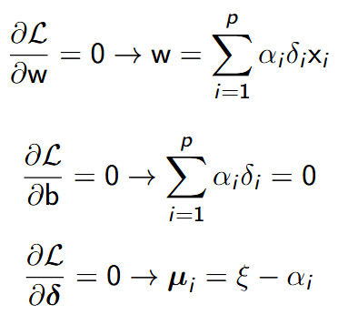
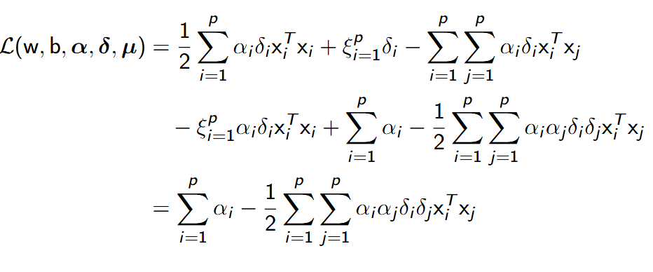
Rozwiązanie minimalizacji funkcji Lagrange’a polega na określeniu punktu siodłowego, czyli wyznaczenia pochodnych cząstkowych względem mnożników.

